R)-2-[4-((喹唑啉-4-酮)-2-氧基)苯氧基]丙酸酯衍生物及其应用
|
科技成果名称 |
R)-2-[4-((喹唑啉-4-酮)-2-氧基)苯氧基]丙酸酯衍生物及 其应用 |
|
|
完成单位 |
beat365官方网站 |
|
|
成果简介 (200-500 字) |
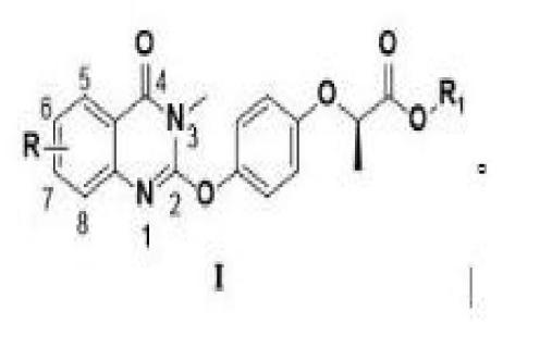
本发明涉及一种 (R)- 2- [4- ((喹唑啉- 4- 酮)- 2- 氧基)苯氧基]丙酸酯衍生物的合成及应用。该类化合物的 结构通式为(I),R 和 R1 如权利要求所定义。以各种取代 的邻氨基苯甲酸和甲基异硫氰酸酯为原料,通过环化、氯 化反应得到各种取代的 2- 氯代喹诺啉- 4- 酮衍生物,然 后通过与(R)- 2- (4- 羟基苯氧基)丙酸酯进行亲核反应得 到 目标化合物 (R)- 2- [4- ((喹唑啉- 4- 酮)- 2- 氧基) 苯氧基]丙酸酯衍生物。本发明还涉及(R)- 2- [4- ((喹唑 啉- 4- 酮)- 2- 氧基)苯氧基]丙酸酯衍生物在除草方面的 应用。测试结果显示这类化合物对于稗草和马唐具有良好 的除草活性,是一类结构新颖、应用前景广阔的选择性除草 |
|
|
|
|
|
|
知识产权情况 |
-2-[4-((喹唑啉-4-酮)-2-氧基)苯氧基]丙酸酯衍生物及其 应用。 2024.01.30 授权号:CN 115322159 B |
|
|
成果成熟度 |
□实验室阶段 □小试阶段 □中试阶段 □市场化阶段 |
|
|
成果转化方式 |
四技术转让 □技术开发 四技术入股 □股权投资 四许可使用 □合作开发 □其他 |
|
聊大要闻
-
beat365获批山东省数字技术工程师培育项目培训机构资质2026-01-08
-
王文行博士获批2025年度山东省海外优秀青年科学基金项目2026-01-07
-
beat365官方网站举办“典赞芳华·星耀聊大”2025年度学生表彰典礼2026-01-07 -
美术与设计学院学生致敬英烈 持续5年助“烈士回家”2026-01-07
-
beat365官方网站举办外籍教师2026新年茶话会2026-01-06
-
【深学笃行全会精神 锚定高质量发展】《beat365官方网站学报(自然科学版)》荣获维普“学术影响力进步期刊”2026-01-06
-
【深学笃行全会精神 锚定高质量发展】beat3655门课程获评2025年山东省课程思政示范课程2026-01-05
-
beat365在2025年“党史国史·我来学我来讲” 活动中获佳绩2026-01-05
-
beat365教师获山东省社会科学学科新秀奖2026-01-04
-
省《教育工作简报》推介beat365构建科研新体系工作2026-01-04



时间 :2025-12-01
阅读次数 :
字体 :
